- Surat pengakuan hutang adalah pernyataan tertulis sepihak dari peminjam bahwa ia benar berutang
- Meski serupa, surat pengakuan hutang berbeda dengan promissory note (pengakuan vs. janji bayar)
- Poin wajib dalam surat pengakuan hutang meliputi judul surat, identitas debitur & kreditur, pernyataan mengakui utang, nominal detail, dan tanda tangan debitur
- Gunakan surat pengakuan hutang jika Anda hanya butuh pernyataan bukti utang, sementara surat perjanjian atau pelunasan hutang digunakan jika ada kesepakatan lain antara kedua belah pihak
Apakah Anda sedang meminjamkan sejumlah uang atau justru sedang berutang? Memiliki dokumen yang sah di atas meterai penting untuk mencegah perselisihan panjang. Dengan surat tersebut, pemberi pinjaman tak perlu cemas uang tak kembali dan peminjam pun aman dari risiko kenaikan biaya sepihak.
Tanpa bukti tertulis, sengketa utang sulit diproses secara hukum. Hal itu juga didukung oleh Otoritas Jasa Keuangan (OJK) yang menekankan pentingnya dokumentasi di awal untuk menghindari risiko kredit. Lalu, surat seperti apa yang harus dibuat? Artikel ini akan membahas fungsi, format, hingga contoh surat pengakuan hutang yang sah.
Apa Itu Surat Pengakuan Hutang?
Surat pengakuan hutang adalah dokumen tertulis sepihak di mana seseorang (debitur) menyatakan bahwa ia memiliki utang sejumlah tertentu yang harus dibayar kepada orang lain (kreditur) pada waktu yang telah ditentukan.
Dokumen ini sering dikaitkan dengan promissory note (surat sanggup). Meski mirip, keduanya memiliki fokus berbeda: jika surat pengakuan hutang berisi pengakuan adanya hutang, promissory note lebih menekankan pada janji dan kesanggupan debitur untuk membayar utang tersebut.
Fungsi dan Peran Surat Pengakuan Hutang
Membuat surat pengakuan hutang memberikan perlindungan bagi kedua belah pihak melalui:
- Kepastian rincian utang: Merinci nominal utang untuk menghindari penagihan dengan jumlah tidak sesuai
- Dasar penagihan kreditur: Menjadi dasar hukum kreditur untuk menagih jika debitur lalai
- Bukti legal di mata hukum: Menjadi alat bukti utama jika kasus utang piutang ini harus dibawa ke pengadilan
Surat pengakuan hutang memiliki kedudukan kuat berdasarkan Pasal 1878 KUHPerdata secara spesifik mengakui legalitas surat pernyataan hutang sepihak sebagai bukti pinjaman yang sah. Selain itu, Pasal 1338 KUHPerdata juga menjamin kebebasan berkontrak selama isi kesepakatan tidak melawan undang-undang.
Baca Juga: Tagih Utang dengan Surat Penagihan Ini
Format Surat Pengakuan Hutang
Berikut format atau poin-poin wajib yang harus ada dalam surat pengakuan hutang:
- Judul Dokumen: Harus tertulis jelas “Surat Pengakuan Hutang” di bagian tengah atas.
- Identitas Para Pihak: Nama lengkap sesuai KTP, NIK, alamat, dan pekerjaan, baik untuk pihak kreditur (pemberi pinjaman) maupun debitur (peminjam).
- Pernyataan Pengakuan Hutang: Pengakuan debitur telah menerima sejumlah uang dan berhutang kepada kreditur.
- Nominal Hutang: Tuliskan jumlah hutang secara detail, baik dalam bentuk angka (Rp) maupun huruf (terbilang).
- Tujuan Pinjaman: (Opsional) Penjelasan singkat untuk apa dana tersebut digunakan.
- Tanda Tangan & Meterai: Tanda tangan debitur di atas meterai Rp10.000 untuk memperkuat legalitas dokumen.
Untuk membuat surat lebih mudah, ikuti format sederhana surat pengakuan hutang ini:
SURAT PENGAKUAN HUTANG
Saya yang bertanda tangan di bawah ini:
Nama: [Nama Anda]
NIK: [Nomor KTP]
Alamat: [Alamat Lengkap]
Selanjutnya disebut sebagai DEBITUR.
Dengan ini menyatakan bahwa saya mengakui sepenuhnya telah menerima pinjaman sebesar Rp[Nominal] ([Terbilang]) dari [Nama Kreditur] (selanjutnya disebut KREDITUR) untuk [alasan peminjaman].
Demikian surat pengakuan hutang ini saya buat dengan penuh kesadaran dan tanpa paksaan dari pihak mana pun.
[Kota], [Tanggal, Bulan, Tahun]
[Tanda Tangan] (Meterai 10.000)
[Nama Jelas Debitur]
Contoh Surat Pengakuan Hutang Lain
1. Contoh Surat Pengakuan Hutang Umum
[Download Template Surat Pengakuan Hutang Umum]
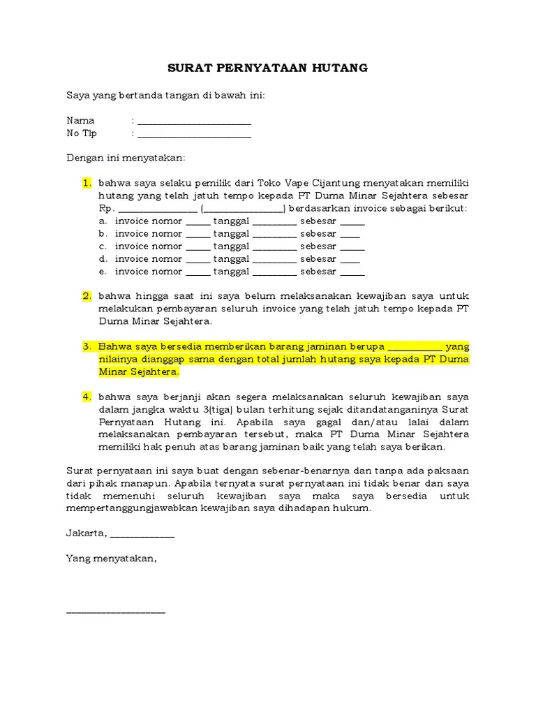
2. Contoh Surat Pengakuan Hutang dengan Jaminan

Sumber: Scribd
3. Contoh Surat Pengakuan Hutang Lengkap

Sumber: Scribd
Meski sama-sama membahas utang, perbedaan ketiganya terletak pada siapa yang menandatangani dan kapan dokumen tersebut dibutuhkan.
- Surat Pengakuan Hutang: Merupakan surat pernyataan sepihak yang hanya ditandatangani oleh peminjam (debitur). Fungsinya murni sebagai bukti tertulis yang kuat bahwa ia mengakui telah menerima uang dan wajib membayarnya kembali.
- Surat Perjanjian Hutang: Merupakan dokumen dua arah (timbal balik) yang dibuat di awal transaksi. Isinya jauh lebih detail karena mengatur ‘aturan main’ mulai dari bunga, jaminan, hingga tanggal jatuh tempo yang disepakati bersama.
- Surat Perjanjian Pelunasan Hutang: Merupakan dokumen penyelesaian yang dibuat saat utang mendekati batas waktu atau terjadi kendala bayar. Fokusnya adalah mengatur skema teknis bagaimana utang tersebut akan ditutup atau dicicil kembali hingga lunas.
Baca Juga: Wanprestasi Ketika Perjanjian Dilanggar
Menyusun surat pengakuan hutang dengan format yang benar adalah investasi keamanan finansial Anda. Dengan dokumen yang transparan, risiko “dibohongi” atau penagihan di luar kesepakatan dapat dihindari sepenuhnya. Kunjungi blog Mekari Sign untuk tips dan cara mengelola dokumen lainnya.
Sementara itu, Mekari Sign adalah aplikasi persetujuan dokumen digital sebagai bagian dari ekosistem software terintegrasi Mekari yang menyediakan tanda tangan digital. Melalui fitur tanda tangan elektronik tersertifikasi, e-Meterai resmi, hingga manajemen kontrak, Mekari Sign memastikan setiap proses pengelolaan dokumen Anda berjalan lebih cepat, tetap sah secara hukum, dan sepenuhnya paperless.
Tanda tangani surat menyurat digital Anda melalui Mekari Sign!


